2022年的北京冬奥会让海内的冰雪举动有了新的认识,而单板滑雪最初发源于二十世纪六十年月中期的美国,其发生与滑板和冲浪举动有关,而许多初学者对付滑雪有着疑问,那么单板滑雪入门能力是奈何的。

直线滑行
首先是直线滑行,这看上去十分简朴,可是很多初学者在实验直线滑行时便栽了不少跟头,时而侧倾,时而前翻后仰,接下来小物将对付直线滑行中关于人体均衡这一最基本的能力举办阐明。
以人站立时均衡的保持为例,相信各人都相识过或也能直观感觉到,只有当人体质心的位置在平面上的投影刚亏得脚掌对应范畴内时,人才有大概保持均衡,因此要保持均衡的一大重要且显然的因素就是制止身体倾斜过大的角度。而雪地滑行时,由于摩擦阻力很小,导致当我们的身体呈现扰动变得不再直立时很容易节制不住而导致身体呈现大角度倾斜最终导致摔倒,而要实此刻向前滑行时对身体均衡更好的把握,则需要将身体略微前倾使得中心靠近于前脚,这样便可以或许有效的减小摔倒或侧翻等意外。

刹车
其次即是刹车,在平滑且有坡度的滑道上,刹车也成为了一项技能活。刹车,很显然等于要增大举动时受到的阻力,回到之前对雪地上行走时阻力的探讨,我们知道,想要增大在雪中举动时受到的阻力,就需要对雪地发生较大的压强,使得其呈现明明的形变,在单板滑雪举动中,刹车这一行动即是通过将滑雪板横过来并略微翘起,使得其与雪地打仗面积减小来实现。在这一进程中,同样不行忽视的一大问题即是身体的均衡,因为在这一进程中需要运带动主动将身体和滑雪板适当倾斜,因此一旦幅度掌握不妥便容易造成跌倒等变乱。
转弯
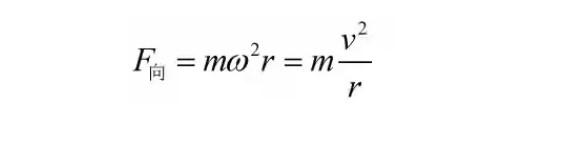
在入门能力中, 黑河旅游网,相对坚苦的即是转弯,有操练过滑板的小同伴们或者较量熟悉,在单板滑雪中,想要实现转弯,需要脚尖与脚跟之间彼此共同,调解力度。简朴来说,想要向何处转便略微朝那一边倾斜,其背后的物理道理在于,当人体向某侧倾斜时,由于人体自己带有必然的举动速度,此时重力的一部门分力则为人体的旋转提供了向心力,使得人体可以或许绕某轴旋转而实现转弯,重力分力提供的向心力与绕转半径之间的干系可以用一个简朴公式举办描写:

假如倾斜角度较大或举动速度较小,按照以上公式可以看出绕转半径将会很小,此时运带动将会绕很小的圆周旋转,此时容易导致身体不服衡。因此假如要较好的实现转弯,则需要有必然的前进速度并节制好自身倾斜水平,掌握好自身均衡。
免责声明:本站部分内容及图片来源于网络,是出于传递更多信息之目的,仅供参考。如发现网站上有侵犯您的知识产权的作品,请与我们联系,我们将及时更正、删除,谢谢!


